黑人av
En
主页
黑人av概况
黑人av简介
学院领导
机构设置
院长致辞
大事记
学院宣传片
师资队伍
师资简介
导师名录
行政管理
劳动与社会保障
工程管理
城市管理
城乡规划
土地资源管理
校外师资
人才招聘
人才培养
本科生
全日制研究生
非全日制研究生(MPA/MEM)
学科科研
学科建设
科学研究
党群工作
党建工作
教工之家
社会服务
国内培训
国际学训
咨询服务
线上培训
联系我们
学生工作
黑人av新闻 动态
学生风采
招生就业
本科生
全日制研究生
非全日制研究生(MPA/MEM)
校友专栏
通知黑人av公告
校友风采
研究生
当前位置:
主页
>
通知黑人av公告
>
学生通知
>
研究生
>
正文
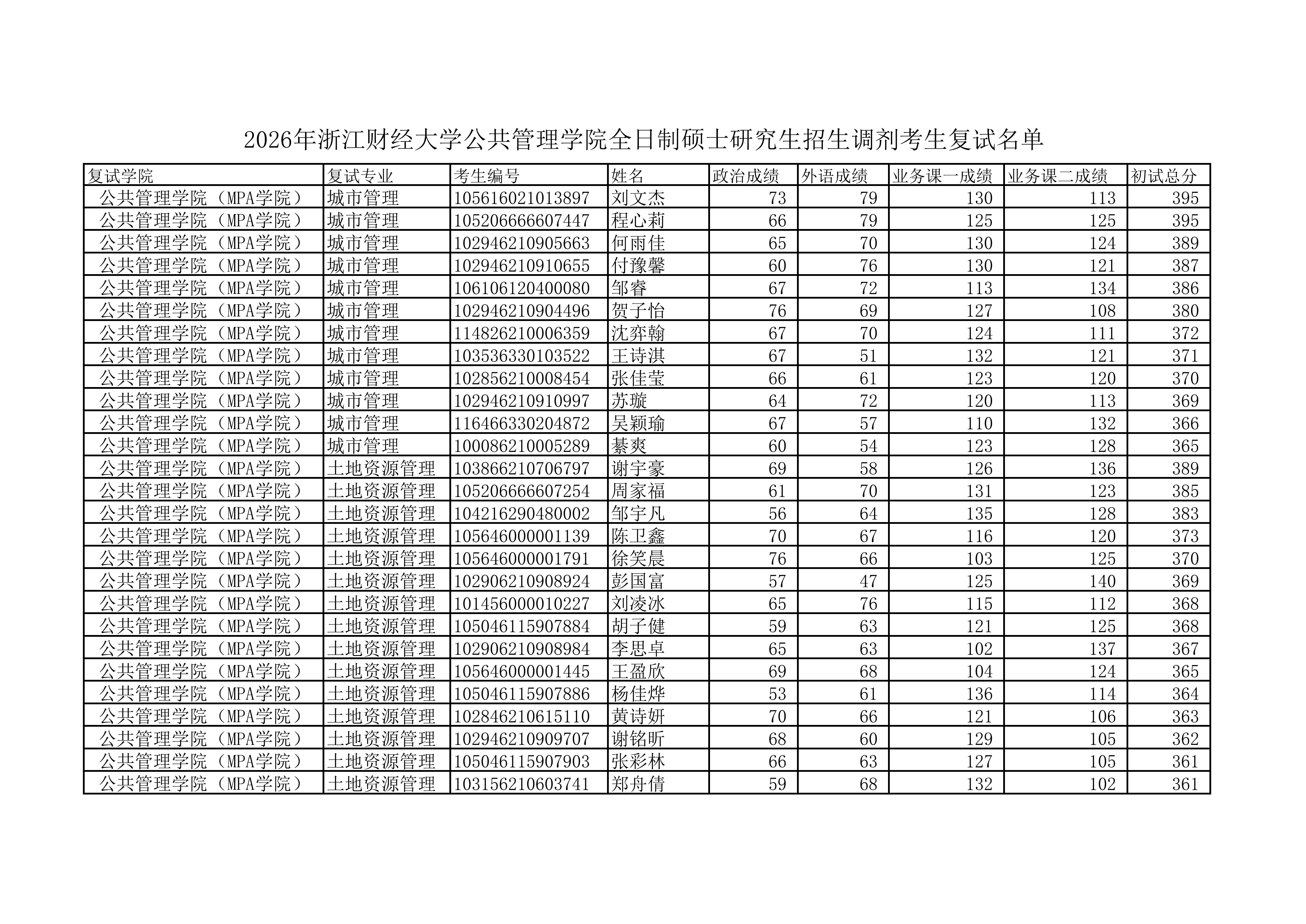
2026年黑人av 全日制硕士研究生招生调剂考生复试名单
日期:2026-04-08
点击数:
下一篇:
讲座预告|新乡贤与乡村振兴